◇정격용량(定格容量, rated-capacity)

그 기기에 대해 제조자가 보증하는 사용한도 및 그 때의 지정조건(예컨대, 전압·전류·속도·역률 등)의 총칭. 정격을 나타내는 수치는 명판(銘板)에 기재된다.
출력의 정격에는 연속정격·단시간 정격·반복 정격 및 등가정격(等價定格) 등 4종류가 있다.


◇정격전류(定格電流, rated current)

정격 출력일 때의 전류.
① 기기, 장치에 있어서 시방에 사용되는 전류 값으로 장치의 동작이나 온도 상승 조건 등이 산출되는 것
② 정격출력으로 동작하는 기기, 장치가 필요한 전류로서 표준 시험조건으로 정격출력(전기 출력에만 한정하지 않고 기계동력의 경우도 있다)으로 운전하고 있을 때 기기장치의 전류
③ 설계의 목적으로 이용되는 전류값
④ 열적인 전류 정격, 정전압으로 동작하는 저항의 전류정격은 정격전압을 가했을 때 흐르는 초기전류의 실효값이다.

<산업안전기준에 관한 규칙 제329조>


◇정격하중(定格荷重, rated load)

양중기인 크레인, 리프트, 승강기, 곤돌라, 이동식크레인등의 권상하중에서 훅, 버켓, 마그넷트 등의 달기기구 중량을 제외한 하중으로 양중기가 실제로 권상 가능한 하물(荷物)의 중량을 말한다.
거더(girder)위를 횡행하는 천장크레인 등은 트롤리의 위치에 따라 정격하중의 변화가 없지만 지브크레인, 타워크레인, 이동식 크레인, 데릭 등과 같이 지브를 가진 양중기는 지브의 길이 및 지브의 기복각도(경사도)에 따라 정격하중이 결정된다.

<산업안전기준에관한 규칙 제101조>


◇정규분포(normal distribution)

신장(身長)의 분포와 지능(知能)의 분포 등과 같이 측정치의 도수분포가 평균치를 기준으로종모양의 대칭분포를 나타내는 경우이다.
가우스(K.F.Gauss)가 측정오차의 분포에서 그 중요성을 강조하였기 때문에 이것을 가우스분포·오차분포라고도 하며, 그 곡선을 가우스곡선 또는 오차곡선이라 한다.
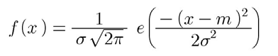
또한 케틀레(A.J.Quetelet)가 통계에 이용하였으므로 이것을 케틀레곡선이라고도 한다. 이 곡선의 함수는

로 된다. 여기서 m은 평균값, σ는 표준편차이므로, 정규분포는 평균값 m과 분산 σ2으로써 결정된다. 변수 x를 t=(x-m)/σ에 의하여 t로 변환하여

를 만들면 (t)=σf(x)로 된다. (t)는 m=0, σ=1인 정규분포이므로, 이 분포의 수치표를 만들면 그것에 의해서 여러 가지 m과 σ에 대한 f(x)의 수치를 구할 수가 있다. 곡선은 x=m에서 최대이고 m에서 멀어짐에 따라 하강하여 x=m±σ인 데에서 변곡(變曲)한다.
즉, 아래쪽으로의 오목이 위쪽으로 오목으로 변하게 된다.
또한 m에서 한없이 멀어짐에 따라 x축으로 한없이 접근한다. 분포곡선과 x축으로 둘러싸는 넓이가 전도수(全度數)를 나타낸다. f(x)나 (t)에서는 x나 t를 확률변수로 하고 있으므로, 넓이는 1로 된다.
그 넓이는 x±m의 범위내에서는 68.3%, m±2σ의 범위 내에서는 95.5%, m±3σ의 범위 내에서는 99.7%로 된다.